- Description
Say goodbye to complicated calculations with our Pore Water Electrical Conductivity Calculator. With just a few simple inputs, you can quickly determine pore water electrical conductivity (sw) and get accurate measurements for your soil analysis needs.
- Easy-to-use excel spreadsheet
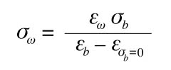
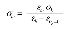
- Calculates sw based on Hilhorst model.
- sw= (ew×sb) / (eb - esb=0) (eq. 1)
- Corrects ew for temperature using equation (2)
- ew = 80.3 - 0.37 × (Tsoil - 20) (eq.2)
Read our BLOG post:
No reviews
Pore Water Electrical Conductivity Calculator
Pore Water Electrical Conductivity Calculator
SKU: pwEC-calculator
On Sale:
Sold out:
Regular price
$5.00
Regular price
$10.00
Sale price
$5.00
Unit price
/
per
No reviews
Shipping calculated at checkout.
Questions about this item? Be the first to ask here.
997 in Stock. Ready to ship!
Couldn't load pickup availability
Share:
Contact Us

What Makes Us Different
At the leading edge of the market, Custom Hydro stands out by providing the growing industry with fertilizers that are not only of premium quality but also feature innovative
solutions tailored for the unique needs of hydroponic and organic farming practices.
-
Premium Quality
The Mark of Trusted Quality.
-
Highest Purity
Never Compromise on the Quality of Inputs.
-
Crop Specific
Customized Fertilizer for your Favorite Crops.