How to Calculate Pore Water Electrical Conductivity from Bulk Soil EC
How to Calculate Pore Water Electrical Conductivity from Bulk Soil EC
Are you a farmer looking to understand how to calculate pore water electrical conductivity from bulk soil EC? Look no further! In this blog post, we'll explain the technical details behind this measurement and how to leverage wireless greenhouse sensor datalogging to make important decisions regarding irrigation and fertilization applications. So keep reading to get the scoop on pore water electrical conductivity and how to measure it!
What is Pore Water Electrical Conductivity?
Pore water electrical conductivity is a measure of the ability of water in the soil pores to conduct an electrical current. It is calculated from bulk soil electrical conductivity (EC) measurements and the soil's dielectric permittivity using the Hilhorst model. Pore water electrical conductivity is an important parameter in soil science as it reflects the soil's salinity and the availability of nutrients to plants.
The term "pore water" refers to water that fills the voids or spaces between soil particles, and is not bound to the soil. This water can conduct electricity and has a different electrical conductivity than the bulk soil.
To measure pore water electrical conductivity, researchers must first determine the bulk soil electrical conductivity using accurate bulk EC sensors. Then, they use the soil's dielectric permittivity, a measure of the ability of the soil to store electrical energy and the basis for the volumetric water content measurement, to calculate the pore water electrical conductivity. In recent years, new technologies such as low power wide area networks (LoRaWAN) have enabled the development of wireless sensors capable of measuring soil parameters including pore water electrical conductivity. This technology allows for continuous monitoring of soil health and can provide real-time data to help farmers and researchers make informed decisions about crop management.
Why Measure Pore Water Electrical Conductivity?
Pore water electrical conductivity is an essential property of soils and greenhouse media that influences plant growth, nutrient availability, and soil health. While bulk soil electrical conductivity measures the overall salt content in soil, pore water electrical conductivity measures the soluble salt content of the water-filled pores between soil particles. The electrical conductivity of the plant available water.
Bulk soil electrical conductivity gives a general idea of the soil's overall salinity level, but it does not provide accurate information on the concentration and availability of dissolved nutrients in the soil. In contrast, pore water electrical conductivity gives a more precise estimation of the solubility of nutrients in the soil, which directly affects plant growth and health.
For greenhouse media, pore water electrical conductivity measurement is crucial for monitoring and controlling nutrient levels in soilless growing systems. High salt levels in greenhouse media can result in plant damage and nutrient imbalances, making it necessary to measure pore water electrical conductivity to maintain optimal nutrient levels for plant growth.
In summary, while bulk soil electrical conductivity and pore water electrical conductivity are related, they differ in their measurement and application. Using lorawan enabled devices, farmers can measure pore water electrical conductivity quickly and accurately, providing valuable insights for crop management.
Factors Affecting Pore Water Electrical Conductivity Measurements
When it comes to measuring pore water electrical conductivity, several factors can affect the accuracy of the results. One such factor is the cation and anionic exchange capacity of the substrate, which can impact the amount of ions in the pore water. This can make it more challenging to accurately measure pore water EC.
Another factor that can affect pore water EC measurements is the design of the sensors being used. However, in the last 10 years, there have been significant improvements in the design of sensors, making it more cost-effective and relatively easy for growers to implement.
It's also important to note the difference between bulk EC and pore water EC. Bulk EC measures the total electrical conductivity of the soil, while pore water EC specifically measures the electrical conductivity of the water within the soil pores. Because of this, pore water EC is a better indicator of the nutrients available to plants.
Sensor placement is another important factor to consider when measuring pore water EC. For example, the SenseCAP Custom MEC-20 sensor uses the water content of the substrate in its calculation of pore water EC. If the sensor is not placed properly, the results may be skewed.
Fortunately, new technologies like LoRaWAN have made it easier to obtain accurate pore water EC measurements. These sensors can provide continuous data, allowing growers to adjust their irrigation practices and optimize plant growth.
Calculating Pore Water Electrical Conductivity from Bulk Soil EC
One of the challenges in measuring pore water electrical conductivity is that the sensors used to take measurements cannot directly measure the electrical conductivity of water in the soil pores. Instead, the sensors, such as the SenseCAP Custom MEC-20, measure the electrical conductivity of the bulk soil surrounding the sensors (sb). The pore water ec(sw) is then calculated and displayed by the software used for datalogging and collection. If your data software does not perform the calculation, you can use the following spreadsheet to convert bulk EC to pore water EC.
Pore Water Electrical Conductivity calculator (google spreadsheet)
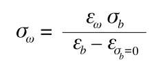
Using the method suggested by Hilhorst (2000), it is possible to calculate the pore water conductivity (sw) from the following equation (1):
sw= (ew×sb) / (eb - esb=0) (eq. 1)
Here, sw is the pore water electrical conductivity (dS/m), ew is the real portion of the dielectric permittivity of the soil pore water (unitless), sb is the bulk electrical conductivity (dS/m) measured by the sensor, and eb is the real portion of the dielectric permittivity of the bulk soil (unitless) measured by the sensor. Additionally, esb=0 is the real portion of the dielectric permittivity of the soil when the bulk electrical conductivity is 0.
This ew can be corrected for temperature using equation (2):
ew = 80.3 - 0.37 × (Tsoil - 20). (eq.2)
Where Tsoil is the temperature of the soil in Celsius measured by the sensor.
Additionally, esb=0 is an offset constant, approximating the dielectric permittivity of the dry soil when the bulk EC(sb) is zero. Hilhorst (2000) recommends using a generic offset of 4.1 for esb=0. For greater accuracy, Hilhorst model (2000) offers a more specific method for determining this value based on individual soil types.
In testing, this method for calculating sw was found to be accurate within a ± 20% margin in moist soils and other growth media.
It's worth noting that while this method for calculating pore water EC results in good accuracy (± 20%) in moist soils and other growth media, it should not be used to calculate pore water electrical conductivity in soils with a volumetric water content less than 0.10 m3/m3 (10%).
Overall, calculating pore water electrical conductivity from bulk soil electrical conductivity is an important technique that allows for the estimation of a crucial soil property. By following the correct methods and being mindful of the limitations of the approach, researchers and soil scientists can gain valuable insights into the health and characteristics of soils and their water content.
Field Measurement Techniques for Pore Water Electrical Conductivity
In the field, the most common method for measuring pore water electrical conductivity is through the use of sensors such as the SenseCAP Custom MEC-20 sensor. This sensor has three prongs, which are made of stainless steel needles. The needles have a 70 MHz frequency, which allows them to penetrate the substrate and measure the volumetric water content without influence from the conductivity of the solution in the pore spaces.
The stainless steel needles provide a greater surface area for the measurement of electrical conductivity and optimize the accuracy of the sensor. They also minimize the disturbance of the substrate, allowing for accurate measurements to be taken without disrupting the pore water distribution. One advantage of the SenseCAP Custom MEC-20 sensor is its ability to measure pore water electrical conductivity in soilless substrates with large particle sizes. This is due to the greater surface area provided by the needles and the optimized frequency range of the sensor. Overall, the SenseCAP Custom MEC-20 sensor is a reliable and efficient tool for measuring pore water electrical conductivity in the field.
Interpretation of Pore Water Electrical Conductivity Data
Once you have measured the pore water electrical conductivity (EC) of your soil, the next step is to interpret the data to make informed decisions about crop management. One common application of pore water EC data is crop steering, a technique used to manage irrigation and fertilization practices to manipulate a plant to grow more vegetative or generative.
Crop steering involves monitoring the pore water EC and adjusting irrigation and fertilization schedules accordingly to promote optimal crop growth. Typically, a range of EC values is established based on crop type and stage of growth, and irrigation and fertilization schedules are adjusted to keep the EC within this range.
For example, in a hydroponic system growing lettuce, the optimal EC range for root uptake may be between 0.8 and 1.2 mS/cm. If the measured pore water EC falls below this range, it may indicate that the plants are not receiving enough nutrients and irrigation and fertilization schedules should be adjusted accordingly. Conversely, if the measured pore water EC is above the optimal range, it may indicate over-fertilization or insufficient watering, and adjustments should be made to avoid plant stress or root damage.
In addition to crop steering, pore water EC data can also provide insights into soil salinity, nutrient availability, and soil moisture content. High pore water EC may indicate high levels of soluble salts, which can impact plant growth and soil health. Low pore water EC may indicate poor nutrient availability, waterlogging, or excessive irrigation.
Interpreting pore water EC data can be complex, as multiple factors such as soil texture, crop type, and environmental conditions can impact the results. However, with careful monitoring and analysis, this data can be a powerful tool for optimizing crop management and achieving maximum yields.
.jpg)


